中文核心期刊
CSCD来源期刊
中国科技核心期刊
CA、CABI、ZR收录期刊
所有
标题
作者
关键词
摘要
DOI
栏目
地址
基金
中图分类号
高级检索
首页
期刊简介
期刊简介
出版伦理声明
期刊在线
优先发表
过刊浏览
当期目录
下载排行
浏览排行
引用排行
高级检索
编委会
征稿简则
期刊征订
联系我们
English
旧版入口
所有
标题
作者
关键词
摘要
DOI
栏目
地址
基金
中图分类号
首页
期刊简介
期刊简介
出版伦理声明
期刊在线
优先发表
过刊浏览
当期目录
下载排行
浏览排行
引用排行
高级检索
编委会
征稿简则
期刊征订
联系我们
English
旧版入口
投稿中心
审稿中心
标准规范
MORE+
下载中心
MORE+
在线联系
邮件订阅
RSS
优先发表
优先发表栏目展示本刊经同行评议确定正式录用的文章,这些文章目前处在编校过程,尚未确定卷期及页码,但可以根据DOI进行引用。
基于图像特征衍生的水稻氮素精准监测研究
叶春
,
舒时富
,
孙滨峰
,
吴罗发
摘要
HTML全文
PDF
(
)
玉米茎基腐病菌LAMP检测技术的建立
侯翔宇
,
黄鹏
,
张杰
,
曾兆华
,
余德亿
,
姚锦爱
,
李本金
摘要
HTML全文
PDF
(
)
坦布苏病毒编码蛋白结构与功能研究进展
李娜
,
林翠
,
曾艳兵
,
李海琴
摘要
HTML全文
PDF
(
)
盐肤木
LBD
基因家族鉴定及热胁迫响应表达分析
朱亚静
,
胡珂
,
巴广
,
梁宏伟
,
陈发菊
,
刘文
摘要
HTML全文
PDF
(
)
39份早熟甜玉米早代系性状综合分析及育种潜力评估
杨慧娴
,
柯恩添
,
王迪
,
徐福乐
,
赵良侠
,
田大刚
摘要
HTML全文
PDF
(
)
金黄色葡萄球菌α-溶血素的原核表达及其活性测定
肖冰
,
薛喜博
,
毛慧霞
,
张银花
,
孙英健
摘要
HTML全文
PDF
(
)
新疆四个地区传统酸马奶中微生物菌株的分离及遗传进化分析
王俊伟
,
佘笑兰
,
柳梦婕
,
高天晴
,
努尔·库尔玛那里
,
阮永磊
,
郭会玲
,
刘志强
摘要
HTML全文
PDF
(
)
猪粪秸秆翻抛堆肥工艺过程中微生物结构和功能演替分析
成伟伟
,
张鹏岳
,
李敏
,
杨小虎
,
李元新
,
唐芸娇
,
杨军祥
,
杨明
,
陈伯祥
,
赵子惠
,
周瑶
,
孙志媛
摘要
HTML全文
PDF
(
)
铁皮石斛
DobHLH63
基因的克隆及表达分析
王欣睿
,
于莹
,
陈宏宇
,
杨奕樱
,
李娟
,
骆文慧
摘要
HTML全文
PDF
(
)
油樟中呋喃型木脂素对层出镰刀菌的抑制活性及作用机理
徐孟飞
,
李欣瑜
,
程家豪
,
李明瑞
,
陈景新
,
邱远望
,
倪林
摘要
HTML全文
PDF
(
)
短期盐胁迫下红萍耐盐性评价及核心指标筛选
邓素芳
,
陈宏达
,
杨燕秋
,
应朝阳
摘要
HTML全文
PDF
(
)
福建烟稻复种连作障碍土壤微生物群落及理化特性
张雨蓉
,
蔡志维
,
赵安丽
,
曾文龙
,
吕家煊
,
唐莉娜
,
熊德忠
,
刘泓
摘要
HTML全文
PDF
(
)
尖孢镰刀菌西瓜专化型生防菌高氏链霉菌BCSPG1的筛选及其防病效果分析
钱文浩
,
施星仁
,
金佳雯
,
陆鸿英
摘要
HTML全文
PDF
(
)
γ-氨基丁酸调控高温下茄子种子萌发的机制研究
梁海婷
,
张迎迎
,
朱为民
,
吴雪霞
,
肖凯
摘要
HTML全文
PDF
(
)
低温胁迫对灰茶尺蠖活性氧及代谢酶活性的影响
曹帅
,
杨春玲
,
王金钰
,
唐羽彤
,
耿书宝
,
乔利
摘要
HTML全文
PDF
(
)
24份紫苏种质资源叶片和籽粒形态特征和营养品质性状的综合评价分析
林霜霜
,
康玉灵
,
陈沅芷
,
蒋若昀
,
夏春英
,
傅建炜
,
周红玲
,
钟宇宁
摘要
HTML全文
PDF
(
)
菌草SRAP-PCR体系优化及引物筛选
杨东升
,
王志鹏
,
卢倩倩
,
曹皓然
,
丁大力
,
安琪
,
郝水源
摘要
HTML全文
有机无机肥配施对雪茄养分积累、烟叶碳氮代谢及茄衣品质的影响
陈克玲
,
王以慧
,
刘洋
,
杜玉海
,
郭全伟
,
范增博
,
彭发仕
,
马蒙蒙
,
马兴华
摘要
HTML全文
PDF
(
)
不同果肉厚度苦瓜代谢物质鉴定及表达差异分析
裘波音
,
温庆放
,
林珲
,
张前荣
,
陈敏氡
,
郑多乐
,
李大忠
,
朱海生
摘要
HTML全文
PDF
(
)
一株仔猪腹泻源多重耐药大肠杆菌的分离鉴定及其生物学特性
杨圆
,
蓝欣
,
罗程
,
陈昊宇
,
颜一雪
,
魏维
,
岑明升
,
谢妃敏
,
李雪静
,
戴爱玲
,
刘建奎
,
魏春华
摘要
HTML全文
PDF
(
)
稻萍共作体系下水稻产量和吸氮量对大气CO
2
浓度升高的响应
赵泽晶
,
詹杰
,
邓素芳
,
杨燕秋
,
应朝阳
,
胡正华
,
姚元林
摘要
HTML全文
PDF
(
)
葱属植物伴生对番茄产量和品质的影响
张爱佳
,
韩福鑫
,
于高波
,
任春元
,
王岭
,
何兴佳
摘要
HTML全文
PDF
(
)
野香优系列新品种杂种优势及籼粳遗传背景分析
蒋家焕
,
蔡秋华
,
刘锋
,
朱永生
,
魏毅东
,
陈丽萍
,
张建福
摘要
HTML全文
PDF
(
)
一种新的烟草种传致病细菌的分离鉴定
赵方汭
,
顾钢
,
张炳辉
,
朱永平
,
林天然
,
张宜乐
,
陈涛
,
林伟
,
李文卿
,
蔡学清
摘要
HTML全文
PDF
(
)
基于同源建模与分子对接的小菜蛾PxylOBP31广谱性配体识别分析
郭振平
,
郑贞荧
,
汪跃航
,
徐凌
,
杨广
,
金文松
,
蔡立君
摘要
HTML全文
PDF
(
)
伪狂犬病病毒感染小鼠脾脏的病理特征及转录组分析
赵隆
,
白璟瑜
,
魏铭
,
刘坤
,
郑小惠
,
蒙奎洋
,
辛航阔
,
朱婷
摘要
HTML全文
PDF
(
)
土壤环境因子对黏质沙雷氏菌生防效果影响研究进展
张阔洋
,
孙丽娜
,
仇贵生
,
闫文涛
,
岳强
,
窦术英
,
张雨歆
,
艾春旺
,
李跃普
,
王佳佳
,
张怀江
摘要
HTML全文
PDF
(
)
苹果
RR
基因家族鉴定及其在盐碱胁迫下的表达分析
王新亮
,
朱红梅
,
郭冰
摘要
HTML全文
PDF
(
)
施用钙镁调理剂对龙岩雪茄烟产量及品质的影响
申奥
,
王旭玥
,
吴永铭
,
吴树松
,
谢凤标
,
蔡海洋
,
曾文龙
,
刘泓
摘要
HTML全文
PDF
(
)
干旱胁迫下纳米氧化锌对烟草光合生理和品质性状的影响
郭晓琴
,
唐清华
,
苟梦星
,
孟飞飞
,
武广鹏
,
张小全
摘要
HTML全文
PDF
(
)
小苍兰新品种‘紫依’的选育
陈艺荃
,
林兵
,
樊荣辉
,
吴建设
,
叶秀仙
,
罗远华
,
黄敏玲
,
钟淮钦
摘要
HTML全文
PDF
(
)
未来气候背景下茶蚜在中国的适生区预测
林昌进
,
钟文玉
,
贺思语
,
丁雅冰
,
杨永华
,
陈李林
摘要
HTML全文
PDF
(
)
轮作体系下不同耕作方式与秸秆还田对棉花土壤及根区微生态的影响
曾祥飞
,
吕春悦
,
刘志
,
陈汝豪
,
周仲华
,
林原
,
秦玉芝
,
熊兴耀
,
胡新喜
摘要
HTML全文
PDF
(
)
稻草还田配施氮肥对烤烟碳氮代谢及烟叶品质的影响
宋潇瑜
,
黄思菁
,
朱丹丹
,
文媛
,
盛雨晴
,
蔡玮昕
,
杨友才
摘要
HTML全文
PDF
(
)
响应面法优化猪肚菇液体菌种发酵配方
郑泽杰
,
施俊玲
,
杨睿
,
黄志龙
,
赖淑芳
,
胡开辉
,
金文松
,
蔡立君
摘要
HTML全文
PDF
(
)
抗虫肽的来源、作用机制及研究进展
刘波
,
刘丁禹
,
方民杰
,
刘贤德
摘要
HTML全文
PDF
(
)
木薯
MebZIP34
基因克隆及功能分析
蓝东旭
,
霍恺森
,
颜彦
,
叶晓雪
,
杨超逸
,
胡伟
摘要
HTML全文
PDF
(
)
油菜小孢子培养技术和双单倍体系创制研究进展
夏春英
,
萧涵
,
陈松亮
,
蓝新隆
,
林国强
,
张玉梅
摘要
HTML全文
PDF
(
)
不同施用量生物炭对酸化茶园土壤理化性质和细菌群落结构的影响
吕新
,
刘兰英
,
张志灯
,
罗土炎
,
李玥仁
,
饶秋华
摘要
HTML全文
PDF
(
)
多花黄精种子发育-成熟-萌发动态的转变特征
周礼春
,
林直鸿
,
王健
,
古力
,
刘华
,
马斌
,
李明
,
李明
,
张重义
,
李明杰
,
郭晓磊
摘要
HTML全文
PDF
(
)
传统乌衣红曲优异丝状真菌资源挖掘及其酿造特性评价
任香芸
,
梁璋成
,
苏昊
,
刘双平
,
何志刚
摘要
HTML全文
PDF
(
)
不同供磷水平对水生绿肥红萍生物固氮效率和生长速率的影响
詹杰
,
王润淇
,
邓素芳
,
杨燕秋
,
应朝阳
,
姚元林
摘要
HTML全文
PDF
(
)
铁信号在植物与病原微生物互作功能研究进展
李佳黎
,
帅开峰
,
刘锋
,
刘敬
,
戴林建
,
李魏
摘要
HTML全文
PDF
(
)
伦晚脐橙根际、根内可培养固氮菌的分离鉴定及特性研究
韦雅爵
,
林文梦
,
莫义妹
,
黄鹏
,
杨春艳
,
易倩
,
岳鹏鹏
摘要
HTML全文
PDF
(
)
乡村全面振兴背景下农业科技投入对县域经济发展影响的实证研究
刘宇峰
,
王海平
摘要
HTML全文
PDF
(
)
大粒蚕豆新品种‘福蚕1号’的选育
李程勋
,
徐晓俞
,
林财
,
李爱萍
摘要
HTML全文
PDF
(
)
籼型杂交水稻汕优63及其恢复系明恢63的选育研究
*
——原文再版
谢华安2
,
郑家团
,
张受刚
摘要
HTML全文
PDF
(
)
6类茶叶中15种农药残留过程中产生的基质效应研究
陈璐
,
李怀平
,
王顾希
,
唐祥凯
,
冯德建
,
魏雨婷
摘要
HTML全文
PDF
(
)
糯玉米产量、糖度和棒三叶性状的配合力和相关性分析
崔阳
,
刘俊峰
,
张垚
,
宋俏姮
,
孔亮亮
摘要
HTML全文
PDF
(
)
玉米灌浆期淹水胁迫对籽粒品质的影响
弓雪
,
卢生乔
,
陈坤
,
覃宏宇
,
周锦国
,
韦正乙
,
钟昌松
,
杨耀迥
,
冀宇奇
,
刘亚利
,
张述宽
摘要
HTML全文
PDF
(
)
双孢蘑菇发酵培养料细菌多样性分析
袁滨
,
柯丽娜
,
连燕萍
,
赵光辉
,
冯伟林
,
蔡为明
DOI:
10.19303/j.issn.1008-0384.2022.009.018
摘要
HTML全文
PDF
(
)
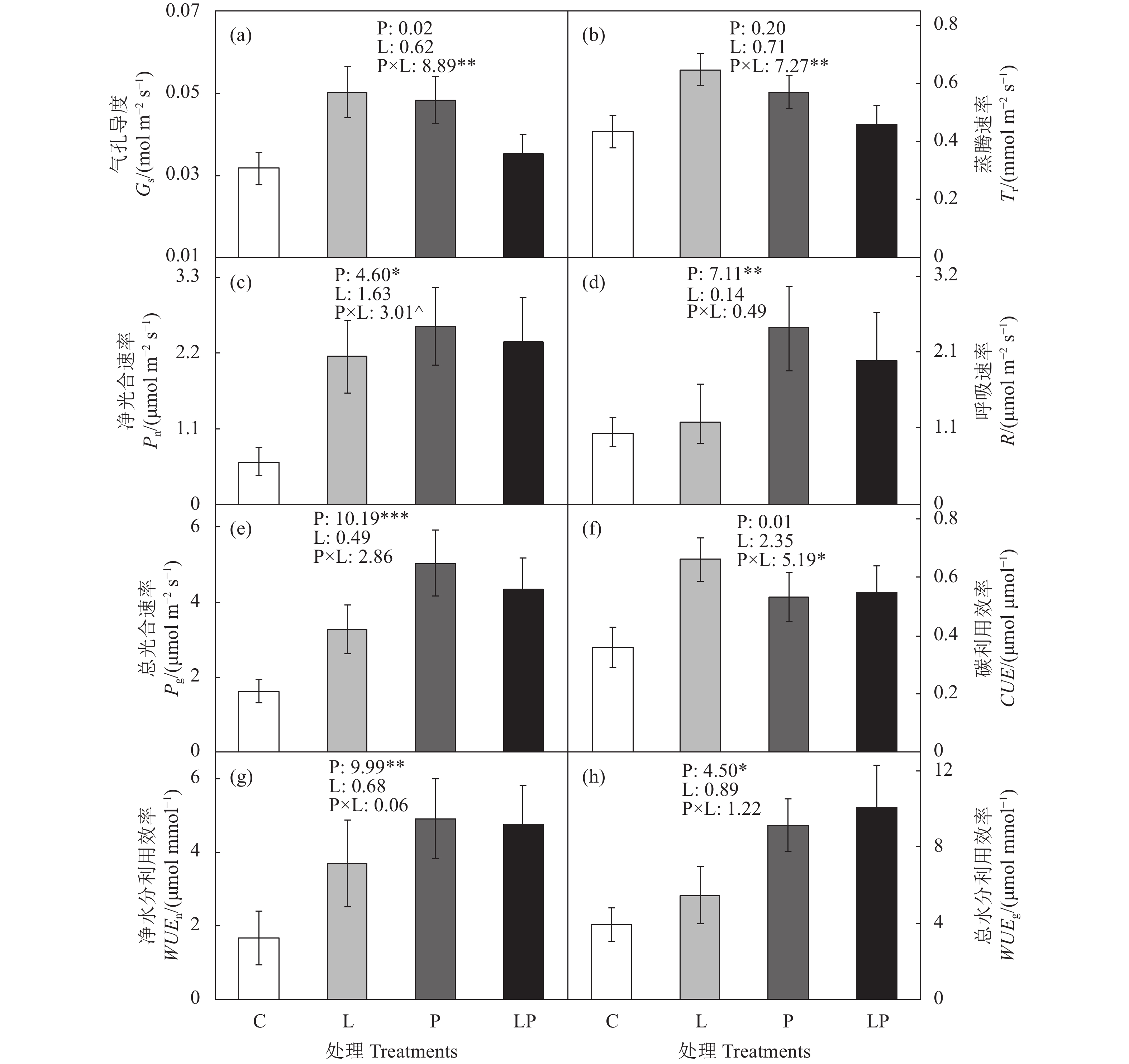
咖啡废弃物覆盖对咖啡光合特性与碳水利用效率的影响
张昂
,
董云萍
,
林兴军
,
赵青云
,
孙燕
,
龙宇宙
,
钟壹鸣
,
谭军
摘要
HTML全文
PDF
(
)
松嫩平原盐碱土区不同土地利用方式对土壤碳、氮及酶活性的影响
刘骞
,
郭博雅
,
伍秀瑜
,
王悦
摘要
HTML全文
PDF
(
)
氨基肽酶(
pAPN
)和唾液神经氨酸酶(
NEU
3)敲除对TGEV病毒侵染的影响
李兆龙
,
丰志华
,
张冰晨
,
方舟
,
梁旺旺
,
陈文志
摘要
HTML全文
PDF
(
)
孕穗期不同渍害时长对小麦生理特性及产量的影响
丁富功
,
卢奕霏
,
贾宝森
,
朱旭东
,
熊泽浩
,
王超
,
侯泽豪
,
刘易科
,
朱展望
,
张迎新
,
王书平
,
方正武
摘要
HTML全文
PDF
(
)
内源激素含量变化以及与激素合成相关基因表达量对毕克齐山药块茎膨大的影响
敖兰吉亚
,
季祥
,
邵盈
,
赵令敏
,
张艳芳
,
霍秀文
摘要
HTML全文
PDF
(
)
本刊动态
MORE+
业界资讯
MORE+
协办单位
MORE+
友情链接
MORE+
×
Close
导出文件
文件类别
RIS(可直接使用Endnote编辑器进行编辑)
Bib(可直接使用Latex编辑器进行编辑)
Txt
引用内容
引文——仅导出文章的Citation信息
引文和摘要——导出文章的Citation信息和文章摘要信息
×
Close
引用参考文献格式